- Giao hàng bởi nhân viên Viettel Post, VietNam Post...
- Giao hàng trên Toàn Quốc
- Nhận hàng rồi mới thanh toán tiền (COD)
Tác giả: Nguyễn Tuấn Lâm - Ngô Nguyễn Quốc Mẫn...
Nhà xuất bản: ĐHQGHN
Năm xuất bản: 2025
Số trang: 184
Khổ sách: 19 x 27 cm
Giao sách trên toàn quốc.
Sách được phát hành với giá ưu đãi...
Vui lòng liên hệ trực tiếp: 0908 016 729 - 0933 241 170

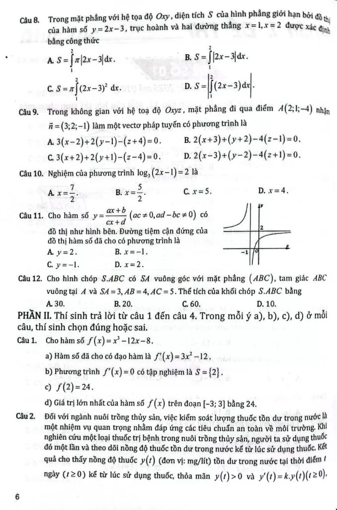
Miễn phí vận chuyển
Cho hóa đơn trên 280.000đ